Two major land use bills were passed by the Seattle City Council on Monday. Large swaths of Downtown and South Lake Union will receive rezones that will allow taller buildings and more floor area. High-rise towers were already permitted in much of those areas, but the rezones will also help implement the City’s Mandatory Housing Affordability (MHA) requirements, which are slated to deliver thousands of rent- and income-restricted units over the next decade. Higher categorical exemptions from the State Environmental Policy Act (SEPA) will also be partially restored for new development proposals in designated urban centers.
Downtown and South Lake Union rezones

Most zones in Downtown and South Lake Union will be rezoned allowing additional development capacity for residential and commercial uses. Zoning changes will generally equate to one additional floor commercial development and one to four floors of additional residential development. Paired with the MHA requirements for residential (MHA-R) and commercial (MHA-C) development, the rezones are anticipated to result in the development of 2,100 affordable rent- and income-restricted units in the next 10 years. Put in context with the MHA rezones expected elsewhere in the the city, the Downtown and South Lake Union rezones would deliver more than a third of the 6,000 MHA units expected city-wide.

In February and March, the Planning, Land Use, and Zoning (PLUZ) Committee met to consider potential amendments to the proposed rezones. A handful of amendments were adopted at the March 21st meeting. These included:
- Revised “combined lot” regulations for DOC1, DOC2, and DMC 340/290-440 zones. The change eliminates short-term parking and improved building massing as qualifying public benefit options under the provision and specify affordable housing as a qualifying public benefit must exceed the standards of the MHA program;

- An option to allow vested projects to opt-in to the MHA program. Approximately 40 developments proposed within Downtown and South Lake Union have not yet reached construction. The opt-in provisions would allow projects like them to voluntarily participate in the MHA program so long as they meet the program requirements and do not result in substantial changes that would necessitate going back through the Design Review process nor require additional departures for the Land Use Code. In exchange, additional floor area would be permitted under the new zoning applicable to development site.
- Addition of Council intent language related to livability in Downtown and a special tower separation provision for the DOC2 zone. In exchange for voluntary setbacks from existing residential structures, new towers could achieve extra building height in the DOC2 zone. The intent language also commits the City to reviewing established right-of-way management strategies and ways to revise them to maximize the use of alleyways, exploring how existing streets can be put to use as green space and public, and taking a fresh look at the existing urban design strategy for Downtown and revising the neighborhood design guidelines.
At the full City Council meeting, four primary batches of amendments were also proposed to the ordinance, including:
- Formal “Findings of Fact” to support the scope and goals of the ordinance (Amendment 1, which passed);
- Provisions to incentivize family-sized units and to more widely require Transportation Management Programs (TMPs) for new development (Amendment 2, which passed);
- Add an “assumed lot” reporting requirement (Amendment 3, which passed); and
- Increase MHA-R performance and payment requirements (Amendment 4, which failed).

The incentive for family-sized units will allow bonus residential height if at least 10 family-sized units are included in a proposed development located within some but not all Downtown and South Lake Union zones. Family-sized units would each have to consist of three or more bedrooms per unit and have direct access to a common outdoor space. The bonus height could equal an extra 10 feet above the maximum residential building height otherwise allowed. Separately, the same amendment will require new developments that are projected to generate 50 or more vehicle trips during a given afternoon or evening hour to develop a TMP. The goal of a TMP is to reduce single-occupancy vehicle trips and instead push trip into other modes, such as bicycling, transit, walking, or shared vehicle trips.
In a separate amendment that passed, the Office of Planning and Community Development and the Seattle Department of Construction and Inspections (SDCI) will be required to report on the use of “assumed lots,” a unique provision for calculating commercial density in South Lake Union to maximize density potential. The goal of the reporting provisions is to provide the City Council with data on the use of the provision and its potential tradeoffs. In an earlier meeting the PLUZ, there was a proposal to limit the usage of the “assumed lots” provision to only the SM-SLU 85-240 zone.

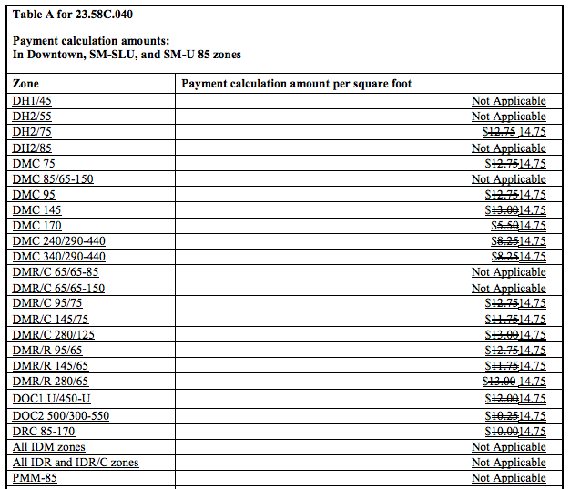
Councilmember Lisa Herbold proposed Amendment 4 to increase the MHA-R requirements over the baseline amounts proposed for Downtown and South Lake Union. The amendment sought to set on-site affordable housing requirements (performance) at 5% of proposed dwelling units and fee in-lieu of performance (payment) at $14.75 per square foot. Councilmember Herbold raised the issue at an earlier meeting of the PLUZ suggesting that the City Council use an alternative means of setting the requirements.

For many zones, the requirement would have been a significant jump over the baseline proposal. Consider the DMC-170 zone, which will only a 2.1% set-aside requirement under MHA-R performance. Most zones would also have relatively low MHA requirements (compared to other areas of the city slated to get MHA rezones), which are in part the result of very modest proposed development capacity increases and the need to retain existing incentive requirements. But the range of requirements for MHA-R is wide with a 5.1% set-aside requirement on the high end. The proposal to increase the MHA-R requirements further, however, failed on a 7-2 vote of the City Council with only Councilmembers Herbold and Kshama Sawant supporting the amendment.
In addition the adopted amendments, the Downtown and South Lake Union rezones also come with two other changes: a provision to reduce tower races to beat out opposing developments subject to tower separation regulations and special modification allowances from the standard MHA and zoning requirements. The ordinance passed on unanimous consent (9-0) of the City Council.
Modifications to SEPA Categorical Exemptions for Infill Development
In separate legislation, the City Council approved modifications to categorical exemptions for new development from SEPA environmental review. The change will increase the categorical exemptions for projects that fall below the specified thresholds in zones located within urban centers that have not exceed their growth estimates. Seattle’s designated urban centers are Downtown, South Lake Union, Uptown, First Hill/Capitol Hill, the U District, and Northgate. Generally, small- to medium-scale projects will be exempt from the environment review process, which advocates of such changes would characterize as beneficial. The impact of the change will likely mean slightly faster permitting timeframes for projects, fewer appeals, and reduced costs for developers.


SEPA as a permitting tool is useful for conditioning development proposals where there are not sufficient codes in place to adequately address specific environmental issues (e.g., transportation, light and glare, historic preservation, and water and air quality) and when a project is likely to have a significant adverse impact that should be evaluated along side potential alternatives. However, most small- and medium-scale projects in Seattle are largely covered by existing development codes that address environmental issues analyzed under SEPA meaning that few if any significant additional conditions are applied to a project. In light of this, many argue that SEPA can be a redundant process that should used more narrowly. The adopted changes get at this issue, but there may be future changes to categorical exemptions.
In the proposal that was submitted to the City Council in the fall, SDCI had proposed a wider set of categorical exemptions that would apply to zones in urban villages with a Station Area Overly District (SOAD) that have not exceed their growth estimates. This would have essentially restored the full set of categorical exemptions that existed in 2015 (and that were removed while the Comprehensive Plan was updated under its own SEPA process). Under the Housing Affordability and Livability Agenda (HALA) recommendations, increasing categorical exemptions from SEPA more broadly is a priority to help fast-track and increase housing production. The Council’s approved bill recognizes this as a priority and specifically has directed SDCI to provide a report later this year on the use of SEPA, areas where development regulations overlap with SEPA, and recommendations on further SEPA reforms.

One thing worth mentioning about the new categorical exemptions is that growth estimates may be exceeded in the coming years. One urban center (South Lake Union) has already surpassed 60% of its growth estimate for 2035. The way that the higher categorical exemption thresholds are written is to have a “cushion” to determine when a growth estimate has been exceeded. The number that SDCI is required to use is the absolute growth estimate minus 10%. So if the 2035 growth estimate for an urban center is 20,000 new housing units, then the growth estimate will have been exceed when 18,000 housing units have been permitted.
The ordinance passed on unanimous consent (9-0) of the City Council.
Related Articles
PLUZ Talks Amendments To Downtown And South Lake Union Rezone
